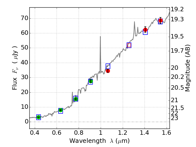
CL0152-13 IR detection object #626

Color images and BPZ results
Catalog: 626.cat
Black segments are analyzed here.   Roll mouse over color images to view segments.
Best viewed in a wide browser window (1200 pixels or more).   Download SED & P(z) plots to view larger versions.
In P(z) plots: Yellow lines mark the cluster redshift z = 0.833,  

Object #626   x,y = (5424, 4335)   RA, Dec = (01:52:39.840, -13:57:40.68) = (28.16600, -13.96130)   BPZ = 0.994 [0.945--1.033]   type = 6.30 (Sbc_B10 - Scd_B10)   chisq2 = 0.14   ODDS = 1.00   z_cluster = 0.833