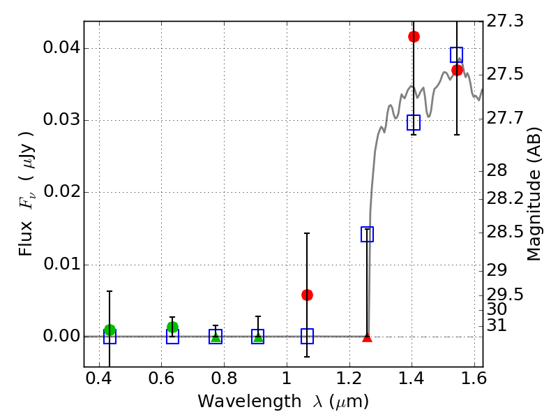
CL0152-13 IR detection object #523

Color images and BPZ results
Catalog: 523.cat
Black segments are analyzed here.   Roll mouse over color images to view segments.
Best viewed in a wide browser window (1200 pixels or more).   Download SED & P(z) plots to view larger versions.
In P(z) plots: Yellow lines mark the cluster redshift z = 0.833,  

Object #523   x,y = (4932, 4609)   RA, Dec = (01:52:41.856, -13:57:24.12) = (28.17440, -13.95670)   BPZ = 9.391 [1.716--11.083]   type = 9.00 (SB2_B10)   chisq2 = 0.46   ODDS = 0.29   z_cluster = 0.833