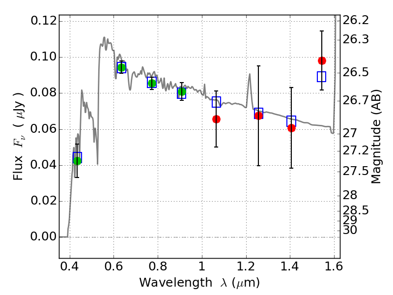
CL0152-13 IR detection object #481

Color images and BPZ results
Catalog: 481.cat
Black segments are analyzed here.   Roll mouse over color images to view segments.
Best viewed in a wide browser window (1200 pixels or more).   Download SED & P(z) plots to view larger versions.
In P(z) plots: Yellow lines mark the cluster redshift z = 0.833,  

Object #481   x,y = (4761, 4657)   RA, Dec = (01:52:42.576, -13:57:21.24) = (28.17740, -13.95590)   BPZ = 3.352 [3.108--3.527]   type = 10.40 (SB3_B10 - SB11_A_0_l)   chisq2 = 0.13   ODDS = 0.91   z_cluster = 0.833