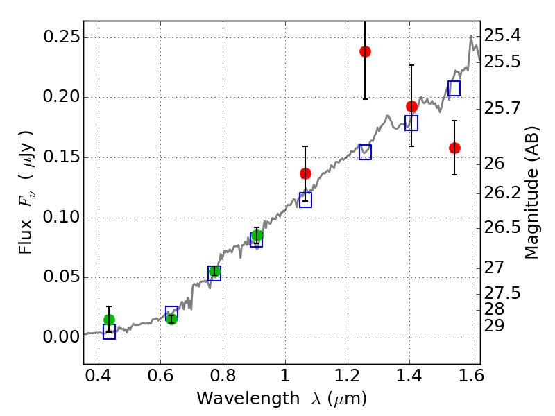
CL0152-13 IR detection object #462

Color images and BPZ results
Catalog: 462.cat
Black segments are analyzed here.   Roll mouse over color images to view segments.
Best viewed in a wide browser window (1200 pixels or more).   Download SED & P(z) plots to view larger versions.
In P(z) plots: Yellow lines mark the cluster redshift z = 0.833,  

Object #462   x,y = (4313, 4704)   RA, Dec = (01:52:44.424, -13:57:18.72) = (28.18510, -13.95520)   BPZ = 0.765 [0.633--0.962]   type = 5.60 (Sbc_B10 - ES0_B10)   chisq2 = 1.79   ODDS = 0.61   z_cluster = 0.833