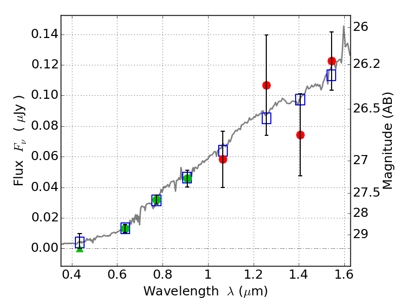
CL0152-13 IR detection object #437

Color images and BPZ results
Catalog: 437.cat
Black segments are analyzed here.   Roll mouse over color images to view segments.
Best viewed in a wide browser window (1200 pixels or more).   Download SED & P(z) plots to view larger versions.
In P(z) plots: Yellow lines mark the cluster redshift z = 0.833,  

Object #437   x,y = (4532, 4774)   RA, Dec = (01:52:43.512, -13:57:14.40) = (28.18130, -13.95400)   BPZ = 0.761 [0.541--1.088]   type = 6.00 (Sbc_B10)   chisq2 = 0.30   ODDS = 0.38   z_cluster = 0.833