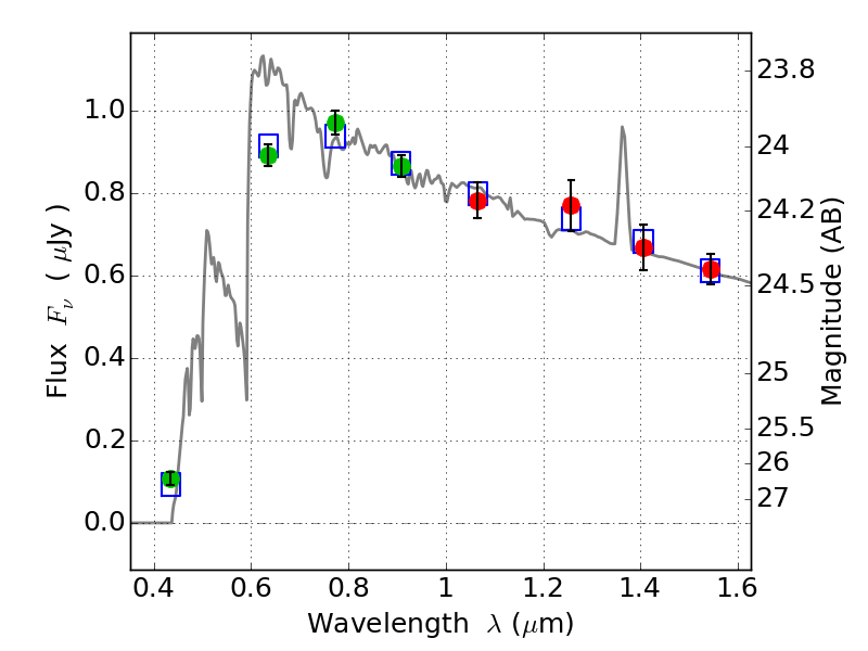
CL0152-13 IR detection object #376

Color images and BPZ results
Catalog: 376.cat
Black segments are analyzed here.   Roll mouse over color images to view segments.
Best viewed in a wide browser window (1200 pixels or more).   Download SED & P(z) plots to view larger versions.
In P(z) plots: Yellow lines mark the cluster redshift z = 0.833,  

Object #376   x,y = (4083, 4883)   RA, Dec = (01:52:45.360, -13:57:07.92) = (28.18900, -13.95220)   BPZ = 3.872 [3.805--3.937]   type = 10.70 (SB11_A_0_l - SB3_B10)   chisq2 = 0.12   ODDS = 1.00   z_cluster = 0.833