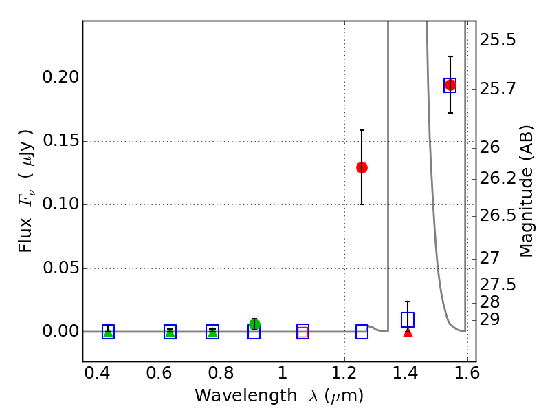
CL0152-13 IR detection object #350

Color images and BPZ results
Catalog: 350.cat
Black segments are analyzed here.   Roll mouse over color images to view segments.
Best viewed in a wide browser window (1200 pixels or more).   Download SED & P(z) plots to view larger versions.
In P(z) plots: Yellow lines mark the cluster redshift z = 0.833,  

Object #350   x,y = (3768, 4944)   RA, Dec = (01:52:46.656, -13:57:03.96) = (28.19440, -13.95110)   BPZ = 12.125 [2.650--12.946]   type = 9.00 (SB2_B10)   chisq2 = 4.13   ODDS = 0.69   z_cluster = 0.833