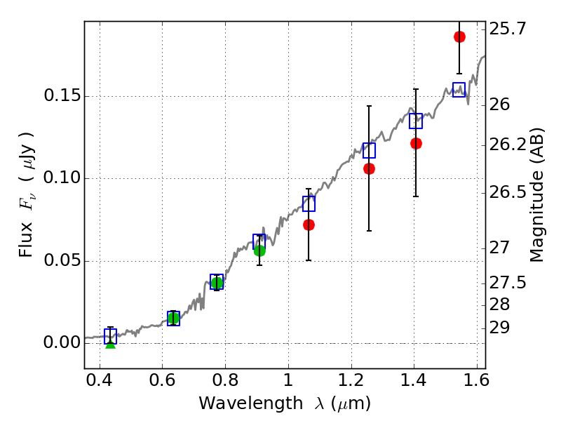
CL0152-13 IR detection object #288

Color images and BPZ results
Catalog: 288.cat
Black segments are analyzed here.   Roll mouse over color images to view segments.
Best viewed in a wide browser window (1200 pixels or more).   Download SED & P(z) plots to view larger versions.
In P(z) plots: Yellow lines mark the cluster redshift z = 0.833,  

Object #288   x,y = (3829, 5088)   RA, Dec = (01:52:46.416, -13:56:55.32) = (28.19340, -13.94870)   BPZ = 0.842 [0.616--1.450]   type = 5.80 (Sbc_B10 - ES0_B10)   chisq2 = 0.49   ODDS = 0.30   z_cluster = 0.833