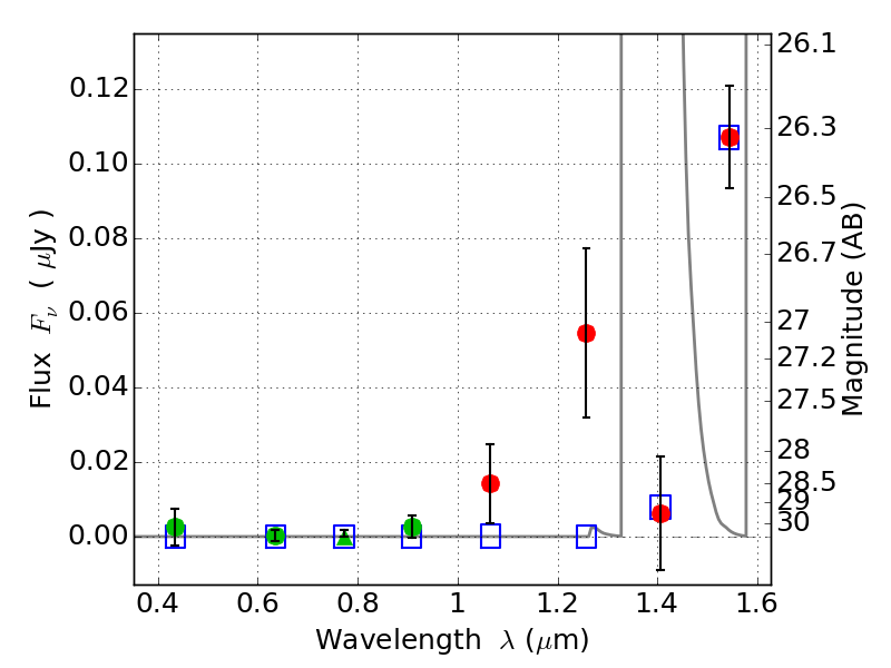
CL0152-13 IR detection object #257

Color images and BPZ results
Catalog: 257.cat
Black segments are analyzed here.   Roll mouse over color images to view segments.
Best viewed in a wide browser window (1200 pixels or more).   Download SED & P(z) plots to view larger versions.
In P(z) plots: Yellow lines mark the cluster redshift z = 0.833,  

Object #257   x,y = (4518, 5158)   RA, Dec = (01:52:43.560, -13:56:51.36) = (28.18150, -13.94760)   BPZ = 11.983 [9.930--12.935]   type = 9.00 (SB2_B10)   chisq2 = 1.35   ODDS = 0.60   z_cluster = 0.833