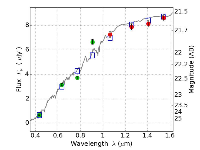
CL0152-13 IR detection object #134

Color images and BPZ results
Catalog: 134.cat
Black segments are analyzed here.   Roll mouse over color images to view segments.
Best viewed in a wide browser window (1200 pixels or more).   Download SED & P(z) plots to view larger versions.
In P(z) plots: Yellow lines mark the cluster redshift z = 0.833,  

Object #134   x,y = (4508, 3690)   RA, Dec = (01:52:43.608, -13:58:19.20) = (28.18170, -13.97200)   BPZ = 0.121 [0.089--0.154]   type = 1.20 (Ell7_A_0 - Ell6_A_0)   chisq2 = 0.92   ODDS = 1.00   z_cluster = 0.833