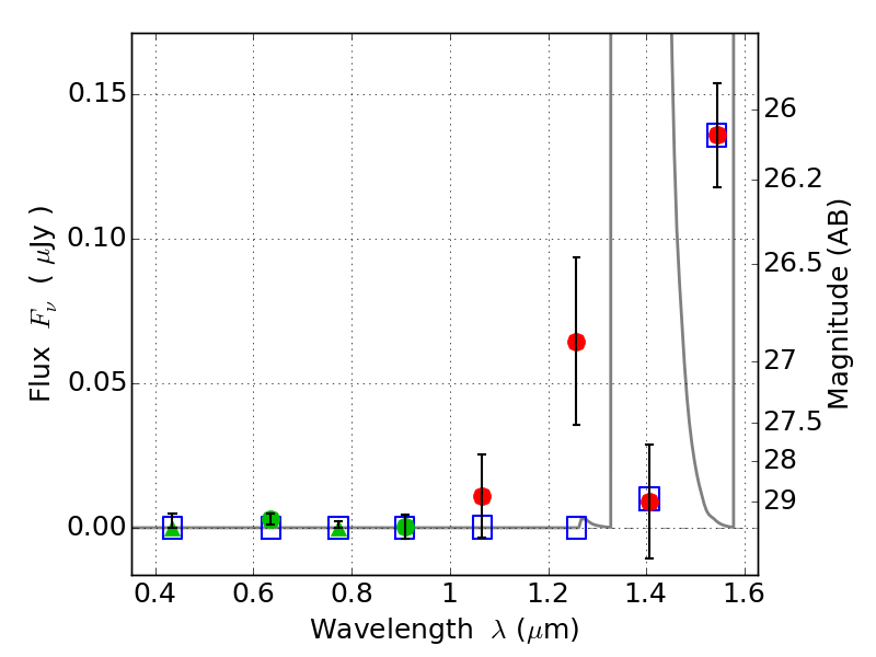
CL0152-13 IR detection object #1090

Color images and BPZ results
Catalog: 1090.cat
Black segments are analyzed here.   Roll mouse over color images to view segments.
Best viewed in a wide browser window (1200 pixels or more).   Download SED & P(z) plots to view larger versions.
In P(z) plots: Yellow lines mark the cluster redshift z = 0.833,  

Object #1090   x,y = (5139, 5699)   RA, Dec = (01:52:41.016, -13:56:18.96) = (28.17090, -13.93860)   BPZ = 11.980 [10.143--12.932]   type = 9.00 (SB2_B10)   chisq2 = 1.00   ODDS = 0.59   z_cluster = 0.833