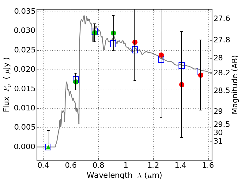
CL0152-13 IR detection object #108

Color images and BPZ results
Catalog: 108.cat
Black segments are analyzed here.   Roll mouse over color images to view segments.
Best viewed in a wide browser window (1200 pixels or more).   Download SED & P(z) plots to view larger versions.
In P(z) plots: Yellow lines mark the cluster redshift z = 0.833,  

Object #108   x,y = (4118, 3615)   RA, Dec = (01:52:45.216, -13:58:23.88) = (28.18840, -13.97330)   BPZ = 4.428 [4.016--4.596]   type = 10.70 (SB11_A_0_l - SB3_B10)   chisq2 = 0.11   ODDS = 0.90   z_cluster = 0.833