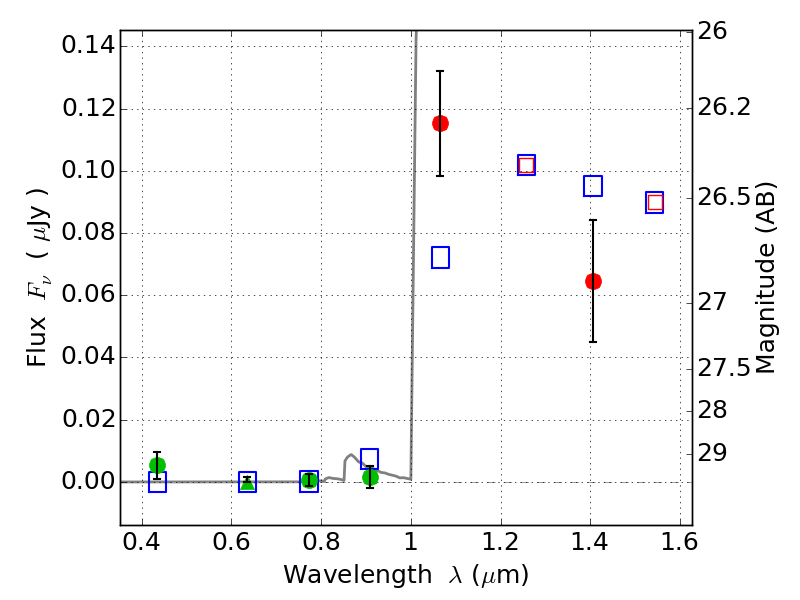
CL0152-13 IR detection object #1075

Color images and BPZ results
Catalog: 1075.cat
Black segments are analyzed here.   Roll mouse over color images to view segments.
Best viewed in a wide browser window (1200 pixels or more).   Download SED & P(z) plots to view larger versions.
In P(z) plots: Yellow lines mark the cluster redshift z = 0.833,  

Object #1075   x,y = (4145, 5672)   RA, Dec = (01:52:45.120, -13:56:20.40) = (28.18800, -13.93900)   BPZ = 7.297 [6.987--12.752]   type = 11.00 (SB11_A_0_l)   chisq2 = 2.95   ODDS = 0.84   z_cluster = 0.833