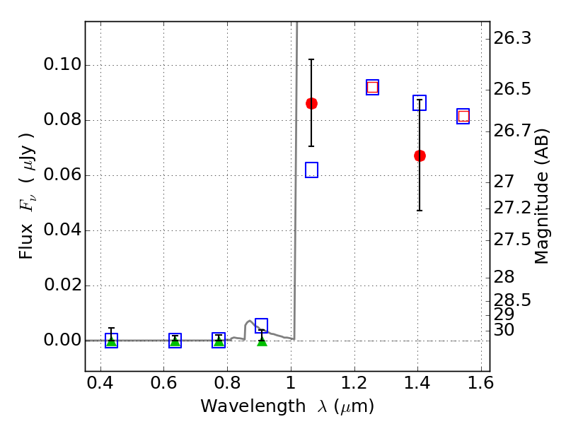
CL0152-13 IR detection object #1039

Color images and BPZ results
Catalog: 1039.cat
Black segments are analyzed here.   Roll mouse over color images to view segments.
Best viewed in a wide browser window (1200 pixels or more).   Download SED & P(z) plots to view larger versions.
In P(z) plots: Yellow lines mark the cluster redshift z = 0.833,  

Object #1039   x,y = (5014, 5641)   RA, Dec = (01:52:41.520, -13:56:22.20) = (28.17300, -13.93950)   BPZ = 7.341 [6.962--7.842]   type = 11.00 (SB11_A_0_l)   chisq2 = 1.14   ODDS = 0.87   z_cluster = 0.833