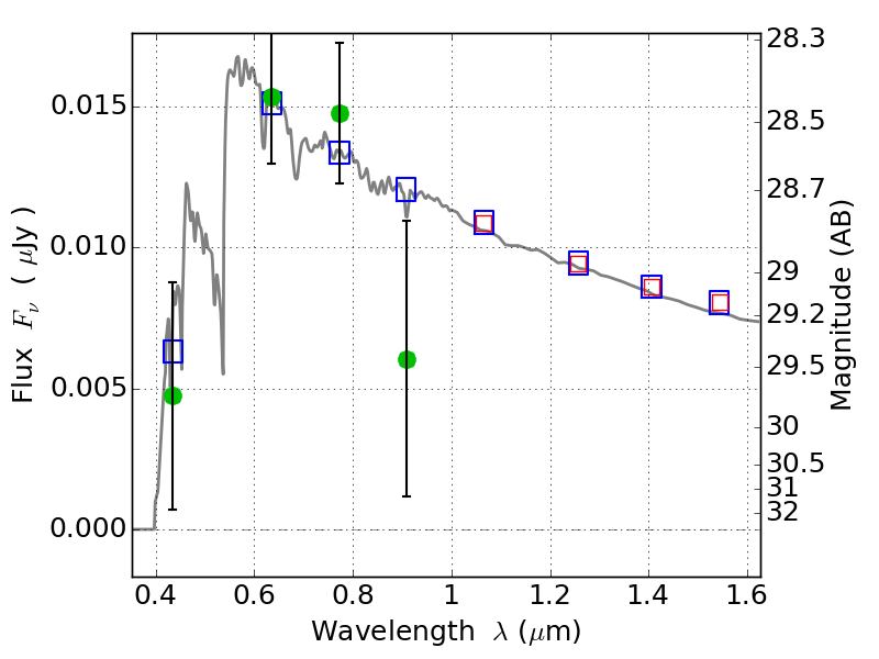
CL0152-13 ACS+IR detection object #8587

Color images and BPZ results
Catalog: 8587.cat
Black segments are analyzed here.   Roll mouse over color images to view segments.
Best viewed in a wide browser window (1200 pixels or more).   Download SED & P(z) plots to view larger versions.
In P(z) plots: Yellow lines mark the cluster redshift z = 0.833,  

Object #8587   x,y = (3002, 3986)   RA, Dec = (01:52:49.824, -13:58:01.56) = (28.20760, -13.96710)   BPZ = 3.416 [0.203--3.980]   type = 11.00 (SB11_A_0_l)   chisq2 = 1.87   ODDS = 0.25   z_cluster = 0.833