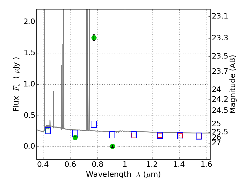
CL0152-13 ACS+IR detection object #7154

Color images and BPZ results
Catalog: 7154.cat
Black segments are analyzed here.   Roll mouse over color images to view segments.
Best viewed in a wide browser window (1200 pixels or more).   Download SED & P(z) plots to view larger versions.
In P(z) plots: Yellow lines mark the cluster redshift z = 0.833,  

Object #7154   x,y = (7504, 3627)   RA, Dec = (01:52:31.272, -13:58:23.16) = (28.13030, -13.97310)   BPZ = 0.100 [0.084--0.116]   type = 11.00 (SB11_A_0_l)   chisq2 = 636.20   ODDS = 1.00   z_cluster = 0.833