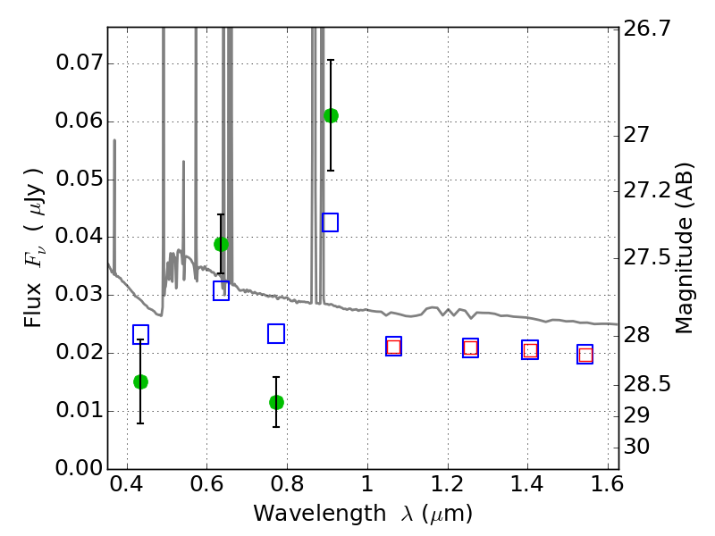
CL0152-13 ACS+IR detection object #5427

Color images and BPZ results
Catalog: 5427.cat
Black segments are analyzed here.   Roll mouse over color images to view segments.
Best viewed in a wide browser window (1200 pixels or more).   Download SED & P(z) plots to view larger versions.
In P(z) plots: Yellow lines mark the cluster redshift z = 0.833,  

Object #5427   x,y = (4316, 3104)   RA, Dec = (01:52:44.400, -13:58:54.48) = (28.18500, -13.98180)   BPZ = 0.325 [0.301--1.639]   type = 11.00 (SB11_A_0_l)   chisq2 = 11.62   ODDS = 0.86   z_cluster = 0.833