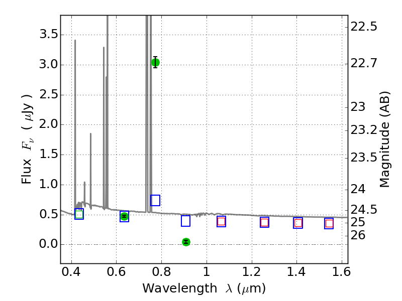
CL0152-13 ACS+IR detection object #5396

Color images and BPZ results
Catalog: 5396.cat
Black segments are analyzed here.   Roll mouse over color images to view segments.
Best viewed in a wide browser window (1200 pixels or more).   Download SED & P(z) plots to view larger versions.
In P(z) plots: Yellow lines mark the cluster redshift z = 0.833,  

Object #5396   x,y = (7005, 3095)   RA, Dec = (01:52:33.312, -13:58:55.20) = (28.13880, -13.98200)   BPZ = 0.123 [0.092--0.138]   type = 11.00 (SB11_A_0_l)   chisq2 = 547.60   ODDS = 1.00   z_cluster = 0.833