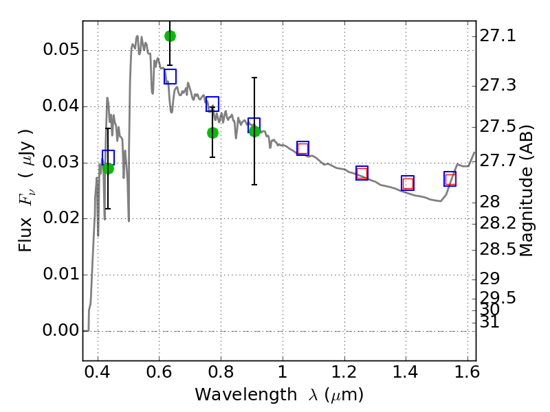
CL0152-13 ACS+IR detection object #4898

Color images and BPZ results
Catalog: 4898.cat
Black segments are analyzed here.   Roll mouse over color images to view segments.
Best viewed in a wide browser window (1200 pixels or more).   Download SED & P(z) plots to view larger versions.
In P(z) plots: Yellow lines mark the cluster redshift z = 0.833,  

Object #4898   x,y = (4599, 2961)   RA, Dec = (01:52:43.224, -13:59:03.12) = (28.18010, -13.98420)   BPZ = 3.133 [0.050--3.461]   type = 11.00 (SB11_A_0_l)   chisq2 = 2.42   ODDS = 0.33   z_cluster = 0.833