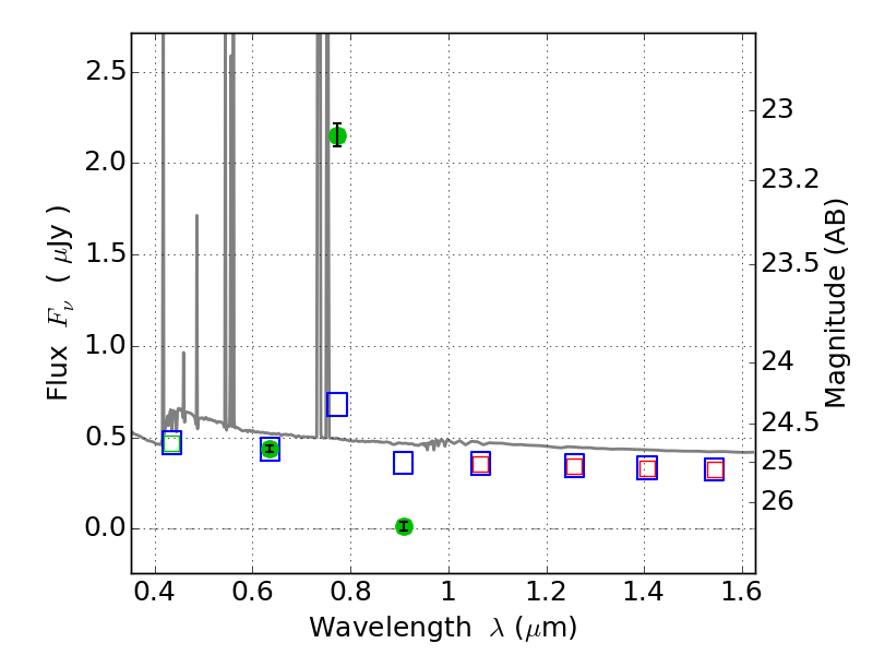
CL0152-13 ACS+IR detection object #376

Color images and BPZ results
Catalog: 376.cat
Black segments are analyzed here.   Roll mouse over color images to view segments.
Best viewed in a wide browser window (1200 pixels or more).   Download SED & P(z) plots to view larger versions.
In P(z) plots: Yellow lines mark the cluster redshift z = 0.833,  

Object #376   x,y = (4934, 817)   RA, Dec = (01:52:41.856, -14:01:11.64) = (28.17440, -14.01990)   BPZ = 0.123 [0.092--0.138]   type = 11.00 (SB11_A_0_l)   chisq2 = 402.80   ODDS = 1.00   z_cluster = 0.833