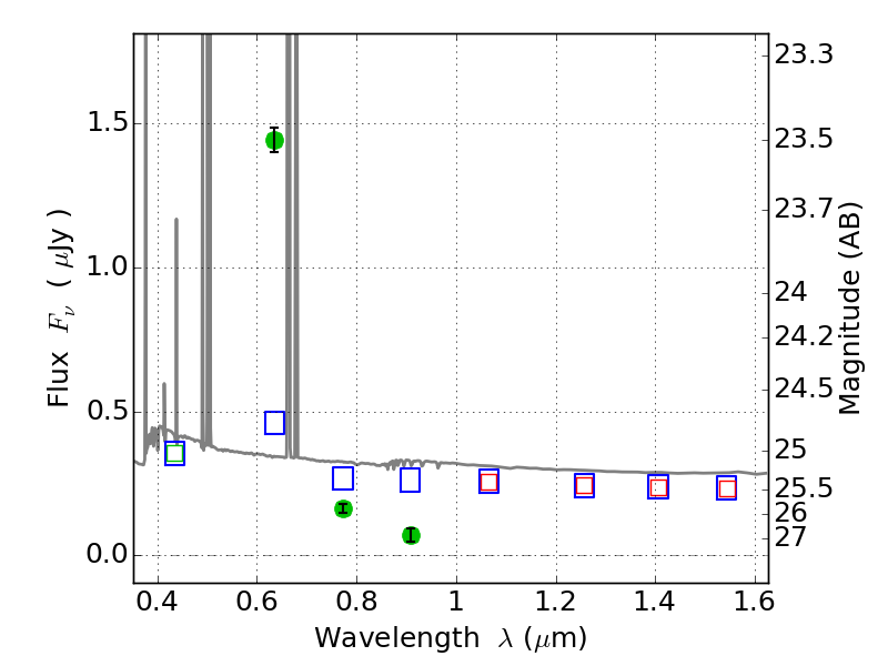
CL0152-13 ACS+IR detection object #338

Color images and BPZ results
Catalog: 338.cat
Black segments are analyzed here.   Roll mouse over color images to view segments.
Best viewed in a wide browser window (1200 pixels or more).   Download SED & P(z) plots to view larger versions.
In P(z) plots: Yellow lines mark the cluster redshift z = 0.833,  

Object #338   x,y = (4917, 776)   RA, Dec = (01:52:41.928, -14:01:14.16) = (28.17470, -14.02060)   BPZ = 0.012 [0.010--0.028]   type = 11.00 (SB11_A_0_l)   chisq2 = 386.30   ODDS = 1.00   z_cluster = 0.833