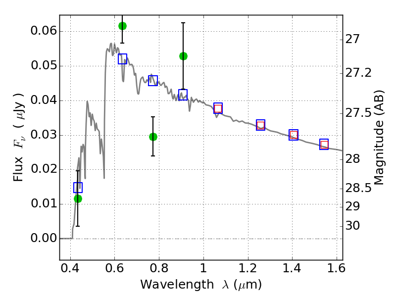
CL0152-13 ACS+IR detection object #3148

Color images and BPZ results
Catalog: 3148.cat
Black segments are analyzed here.   Roll mouse over color images to view segments.
Best viewed in a wide browser window (1200 pixels or more).   Download SED & P(z) plots to view larger versions.
In P(z) plots: Yellow lines mark the cluster redshift z = 0.833,  

Object #3148   x,y = (4866, 2357)   RA, Dec = (01:52:42.144, -13:59:39.48) = (28.17560, -13.99430)   BPZ = 3.564 [0.319--3.775]   type = 11.00 (SB11_A_0_l)   chisq2 = 9.72   ODDS = 0.70   z_cluster = 0.833