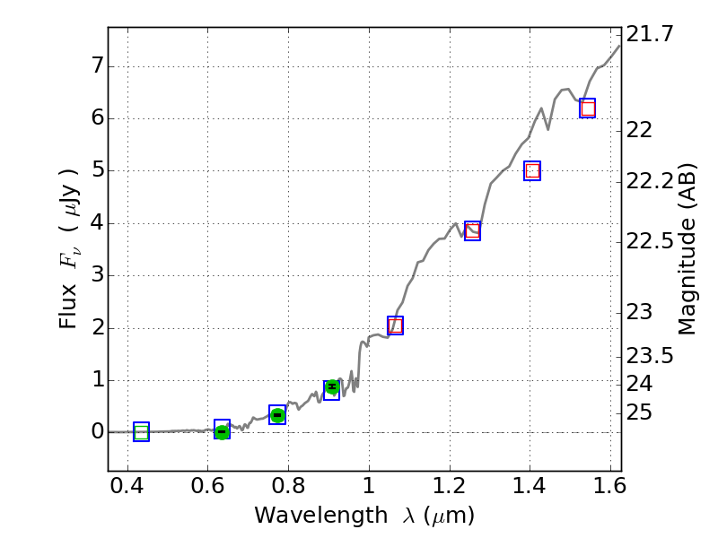
CL0152-13 ACS+IR detection object #2814

Color images and BPZ results
Catalog: 2814.cat
Black segments are analyzed here.   Roll mouse over color images to view segments.
Best viewed in a wide browser window (1200 pixels or more).   Download SED & P(z) plots to view larger versions.
In P(z) plots: Yellow lines mark the cluster redshift z = 0.833,  

Object #2814   x,y = (6287, 2230)   RA, Dec = (01:52:36.288, -13:59:47.04) = (28.15120, -13.99640)   BPZ = 1.449 [1.412--1.672]   type = 1.00 (Ell7_A_0)   chisq2 = 0.06   ODDS = 0.86   z_cluster = 0.833