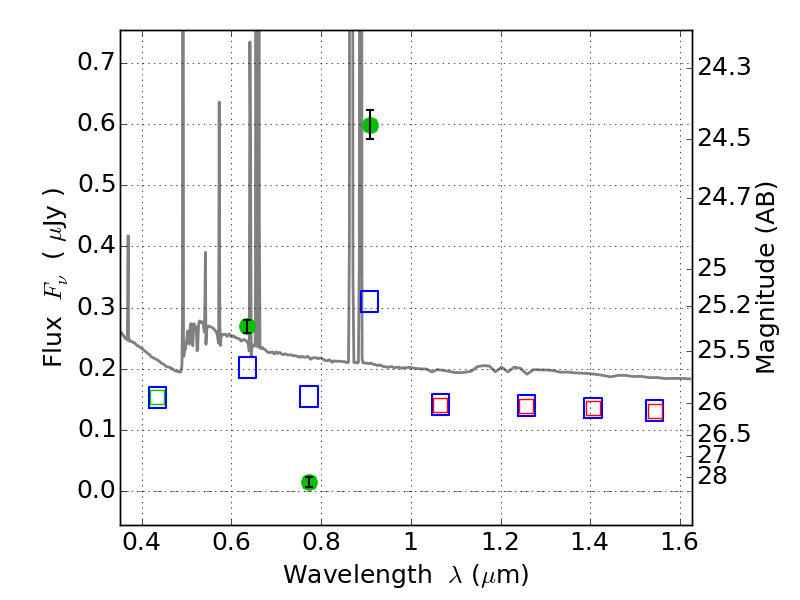
CL0152-13 ACS+IR detection object #28

Color images and BPZ results
Catalog: 28.cat
Black segments are analyzed here.   Roll mouse over color images to view segments.
Best viewed in a wide browser window (1200 pixels or more).   Download SED & P(z) plots to view larger versions.
In P(z) plots: Yellow lines mark the cluster redshift z = 0.833,  

Object #28   x,y = (4582, 447)   RA, Dec = (01:52:43.296, -14:01:33.96) = (28.18040, -14.02610)   BPZ = 0.321 [0.304--0.346]   type = 11.00 (SB11_A_0_l)   chisq2 = 132.20   ODDS = 1.00   z_cluster = 0.833