CL0152-13 ACS+IR detection object #2799

Color images and BPZ results
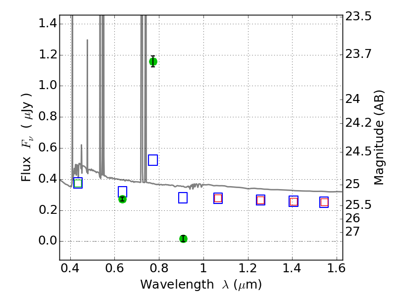
Catalog: 2799.cat
Black segments are analyzed here.   Roll mouse over color images to view segments.
Best viewed in a wide browser window (1200 pixels or more).   Download SED & P(z) plots to view larger versions.
In P(z) plots: Yellow lines mark the cluster redshift z = 0.833,  

Object #2799   x,y = (6294, 2223)   RA, Dec = (01:52:36.240, -13:59:47.40) = (28.15100, -13.99650)   BPZ = 0.102 [0.086--0.119]   type = 11.00 (SB11_A_0_l)   chisq2 = 209.60   ODDS = 1.00   z_cluster = 0.833