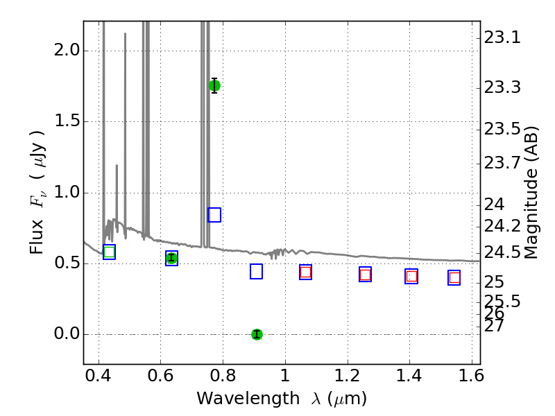
CL0152-13 ACS+IR detection object #233

Color images and BPZ results
Catalog: 233.cat
Black segments are analyzed here.   Roll mouse over color images to view segments.
Best viewed in a wide browser window (1200 pixels or more).   Download SED & P(z) plots to view larger versions.
In P(z) plots: Yellow lines mark the cluster redshift z = 0.833,  

Object #233   x,y = (4779, 669)   RA, Dec = (01:52:42.480, -14:01:20.64) = (28.17700, -14.02240)   BPZ = 0.123 [0.094--0.138]   type = 11.00 (SB11_A_0_l)   chisq2 = 192.10   ODDS = 1.00   z_cluster = 0.833