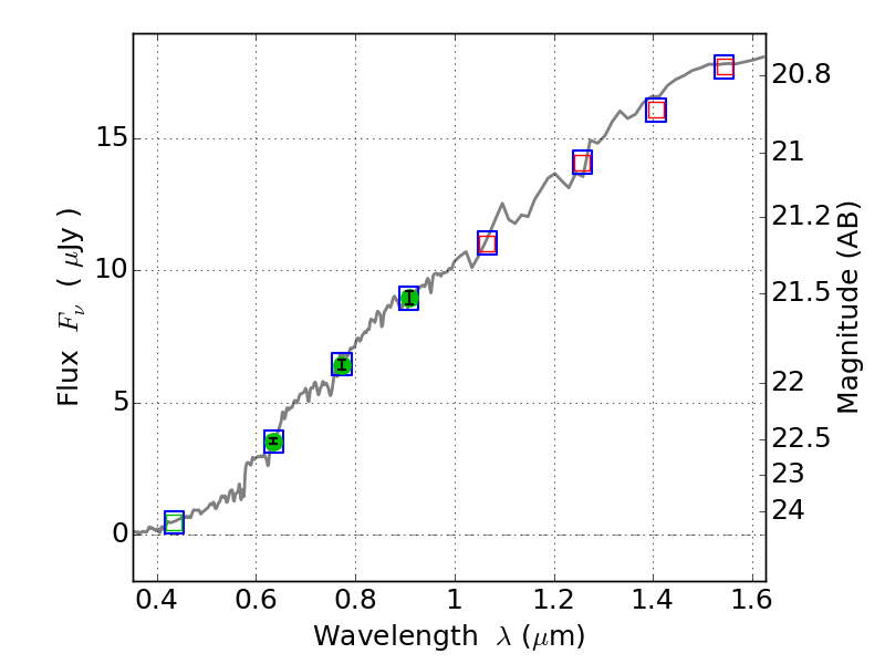
CL0152-13 ACS+IR detection object #23010

Color images and BPZ results
Catalog: 23010.cat
Black segments are analyzed here.   Roll mouse over color images to view segments.
Best viewed in a wide browser window (1200 pixels or more).   Download SED & P(z) plots to view larger versions.
In P(z) plots: Yellow lines mark the cluster redshift z = 0.833,  

Object #23010   x,y = (5611, 7193)   RA, Dec = (01:52:39.072, -13:54:49.32) = (28.16280, -13.91370)   BPZ = 0.454 [0.382--0.793]   type = 3.00 (Ell5_A_0)   chisq2 = 0.00   ODDS = 0.63   z_cluster = 0.833