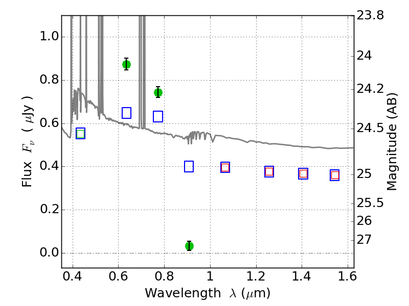
CL0152-13 ACS+IR detection object #22552

Color images and BPZ results
Catalog: 22552.cat
Black segments are analyzed here.   Roll mouse over color images to view segments.
Best viewed in a wide browser window (1200 pixels or more).   Download SED & P(z) plots to view larger versions.
In P(z) plots: Yellow lines mark the cluster redshift z = 0.833,  

Object #22552   x,y = (2934, 7421)   RA, Dec = (01:52:50.088, -13:54:35.64) = (28.20870, -13.90990)   BPZ = 0.061 [0.046--0.075]   type = 11.00 (SB11_A_0_l)   chisq2 = 82.62   ODDS = 1.00   z_cluster = 0.833