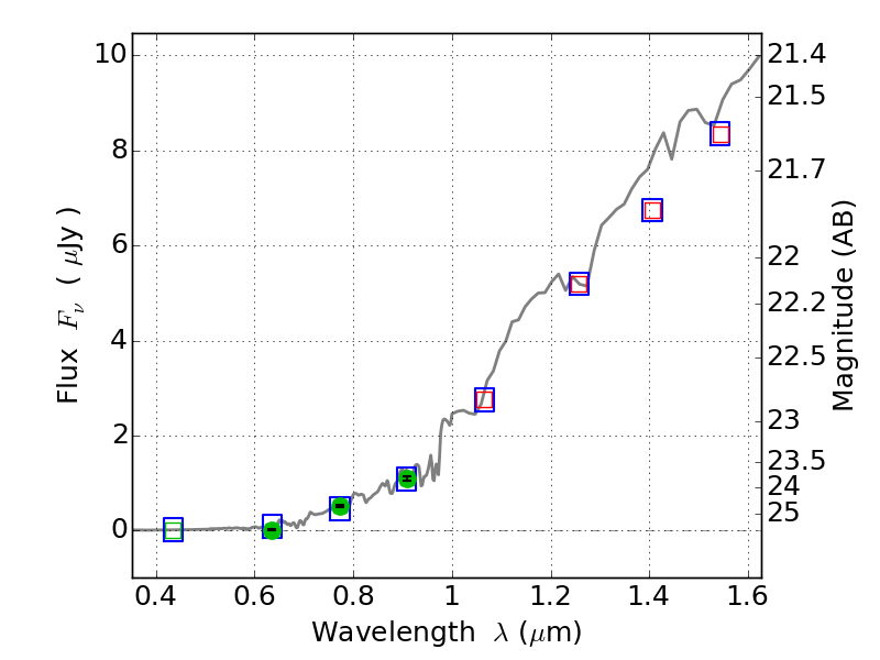
CL0152-13 ACS+IR detection object #225

Color images and BPZ results
Catalog: 225.cat
Black segments are analyzed here.   Roll mouse over color images to view segments.
Best viewed in a wide browser window (1200 pixels or more).   Download SED & P(z) plots to view larger versions.
In P(z) plots: Yellow lines mark the cluster redshift z = 0.833,  

Object #225   x,y = (4798, 656)   RA, Dec = (01:52:42.408, -14:01:21.36) = (28.17670, -14.02260)   BPZ = 1.448 [1.418--1.496]   type = 1.00 (Ell7_A_0)   chisq2 = 0.03   ODDS = 1.00   z_cluster = 0.833