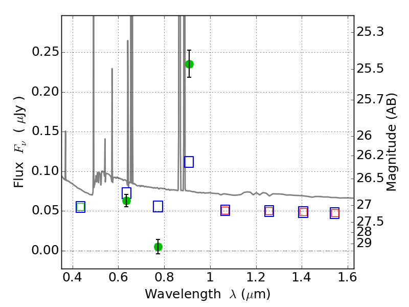
CL0152-13 ACS+IR detection object #22170

Color images and BPZ results
Catalog: 22170.cat
Black segments are analyzed here.   Roll mouse over color images to view segments.
Best viewed in a wide browser window (1200 pixels or more).   Download SED & P(z) plots to view larger versions.
In P(z) plots: Yellow lines mark the cluster redshift z = 0.833,  

Object #22170   x,y = (3097, 7630)   RA, Dec = (01:52:49.416, -13:54:23.04) = (28.20590, -13.90640)   BPZ = 0.318 [0.303--1.284]   type = 11.00 (SB11_A_0_l)   chisq2 = 63.83   ODDS = 0.41   z_cluster = 0.833