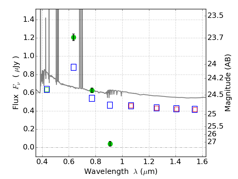
CL0152-13 ACS+IR detection object #2212

Color images and BPZ results
Catalog: 2212.cat
Black segments are analyzed here.   Roll mouse over color images to view segments.
Best viewed in a wide browser window (1200 pixels or more).   Download SED & P(z) plots to view larger versions.
In P(z) plots: Yellow lines mark the cluster redshift z = 0.833,  

Object #2212   x,y = (6021, 1976)   RA, Dec = (01:52:37.368, -14:00:-2.16) = (28.15570, -14.00060)   BPZ = 0.037 [0.022--0.051]   type = 11.00 (SB11_A_0_l)   chisq2 = 68.85   ODDS = 1.00   z_cluster = 0.833