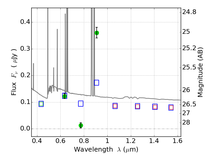
CL0152-13 ACS+IR detection object #21453

Color images and BPZ results
Catalog: 21453.cat
Black segments are analyzed here.   Roll mouse over color images to view segments.
Best viewed in a wide browser window (1200 pixels or more).   Download SED & P(z) plots to view larger versions.
In P(z) plots: Yellow lines mark the cluster redshift z = 0.833,  

Object #21453   x,y = (3439, 8001)   RA, Dec = (01:52:48.024, -13:54:00.72) = (28.20010, -13.90020)   BPZ = 0.319 [0.301--0.347]   type = 11.00 (SB11_A_0_l)   chisq2 = 92.50   ODDS = 1.00   z_cluster = 0.833