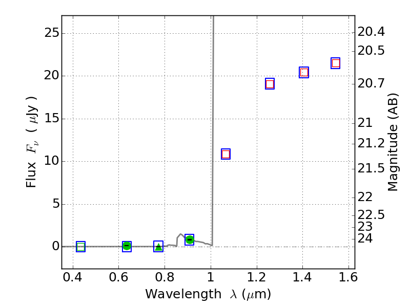
CL0152-13 ACS+IR detection object #209

Color images and BPZ results
Catalog: 209.cat
Black segments are analyzed here.   Roll mouse over color images to view segments.
Best viewed in a wide browser window (1200 pixels or more).   Download SED & P(z) plots to view larger versions.
In P(z) plots: Yellow lines mark the cluster redshift z = 0.833,  

Object #209   x,y = (4735, 643)   RA, Dec = (01:52:42.672, -14:01:22.08) = (28.17780, -14.02280)   BPZ = 7.320 [7.234--7.809]   type = 9.00 (SB2_B10)   chisq2 = 0.01   ODDS = 0.91   z_cluster = 0.833