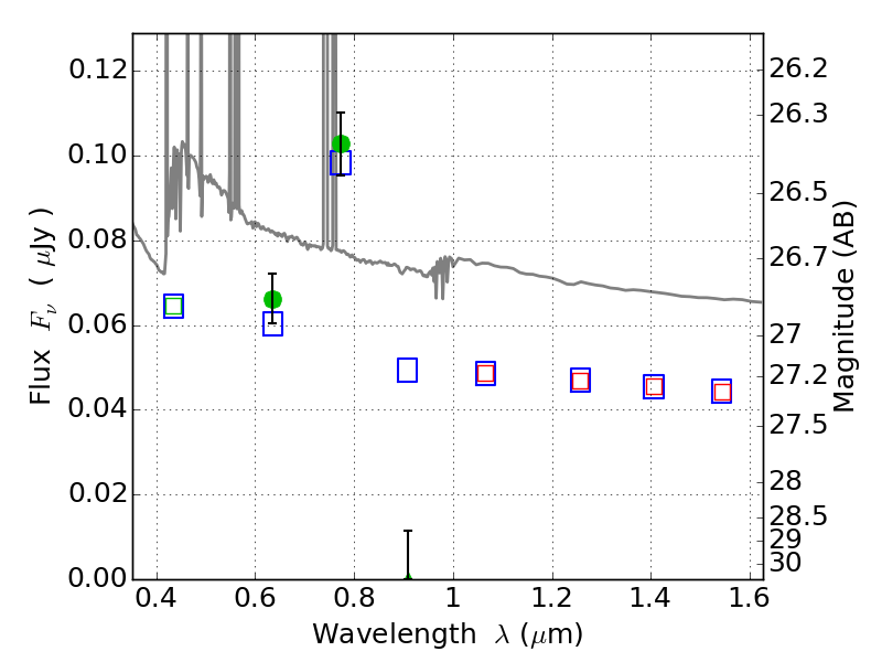
CL0152-13 ACS+IR detection object #20685

Color images and BPZ results
Catalog: 20685.cat
Black segments are analyzed here.   Roll mouse over color images to view segments.
Best viewed in a wide browser window (1200 pixels or more).   Download SED & P(z) plots to view larger versions.
In P(z) plots: Yellow lines mark the cluster redshift z = 0.833,  

Object #20685   x,y = (3892, 8476)   RA, Dec = (01:52:46.152, -13:53:32.28) = (28.19230, -13.89230)   BPZ = 0.134 [0.075--0.202]   type = 11.00 (SB11_A_0_l)   chisq2 = 14.40   ODDS = 0.83   z_cluster = 0.833