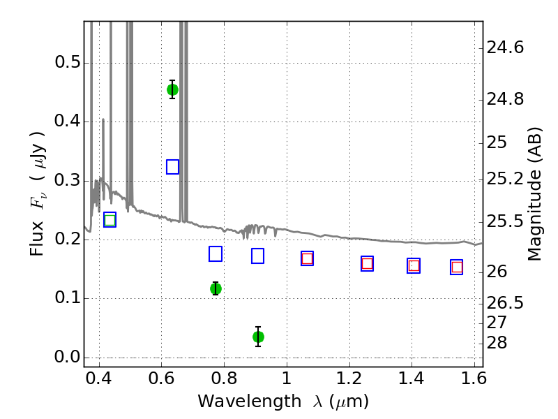
CL0152-13 ACS+IR detection object #20576

Color images and BPZ results
Catalog: 20576.cat
Black segments are analyzed here.   Roll mouse over color images to view segments.
Best viewed in a wide browser window (1200 pixels or more).   Download SED & P(z) plots to view larger versions.
In P(z) plots: Yellow lines mark the cluster redshift z = 0.833,  

Object #20576   x,y = (3984, 8599)   RA, Dec = (01:52:45.768, -13:53:24.72) = (28.19070, -13.89020)   BPZ = 0.013 [0.010--0.029]   type = 11.00 (SB11_A_0_l)   chisq2 = 54.95   ODDS = 1.00   z_cluster = 0.833