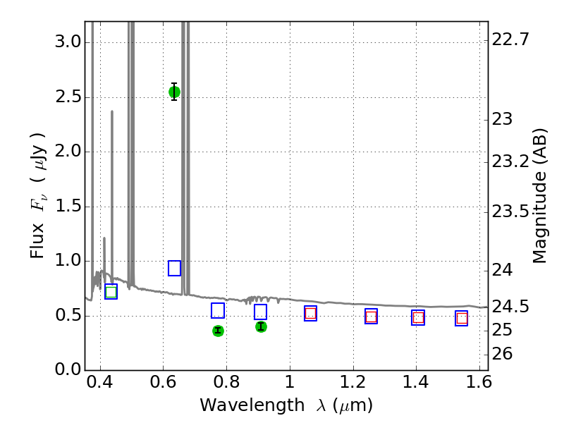
CL0152-13 ACS+IR detection object #20051

Color images and BPZ results
Catalog: 20051.cat
Black segments are analyzed here.   Roll mouse over color images to view segments.
Best viewed in a wide browser window (1200 pixels or more).   Download SED & P(z) plots to view larger versions.
In P(z) plots: Yellow lines mark the cluster redshift z = 0.833,  

Object #20051   x,y = (4351, 9008)   RA, Dec = (01:52:44.256, -13:53:00.24) = (28.18440, -13.88340)   BPZ = 0.012 [0.010--0.028]   type = 11.00 (SB11_A_0_l)   chisq2 = 284.80   ODDS = 1.00   z_cluster = 0.833