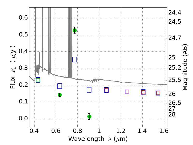
CL0152-13 ACS+IR detection object #20031

Color images and BPZ results
Catalog: 20031.cat
Black segments are analyzed here.   Roll mouse over color images to view segments.
Best viewed in a wide browser window (1200 pixels or more).   Download SED & P(z) plots to view larger versions.
In P(z) plots: Yellow lines mark the cluster redshift z = 0.833,  

Object #20031   x,y = (4375, 9030)   RA, Dec = (01:52:44.160, -13:52:58.80) = (28.18400, -13.88300)   BPZ = 0.101 [0.083--0.118]   type = 11.00 (SB11_A_0_l)   chisq2 = 66.17   ODDS = 1.00   z_cluster = 0.833