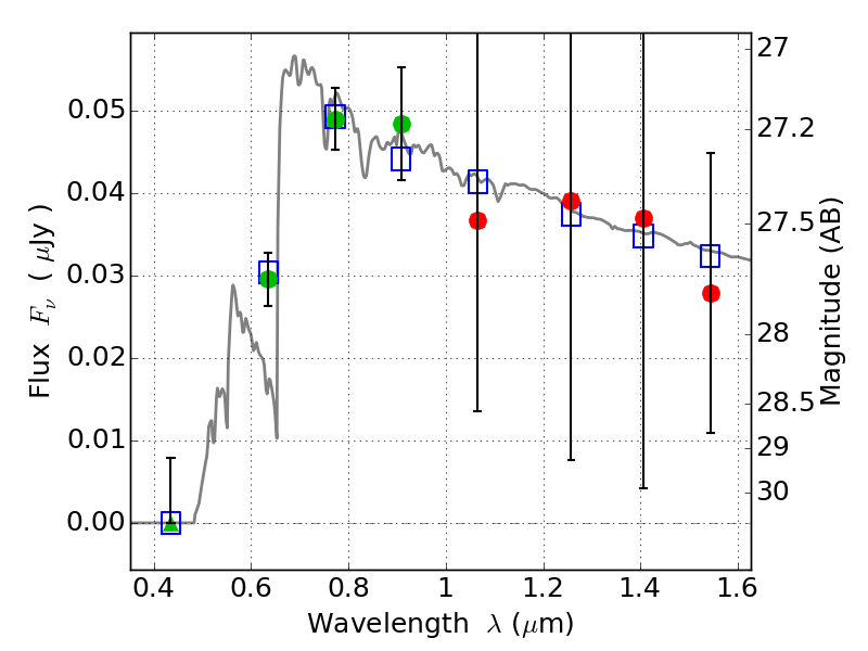
CL0152-13 ACS+IR detection object #18484

Color images and BPZ results
Catalog: 18484.cat
Black segments are analyzed here.   Roll mouse over color images to view segments.
Best viewed in a wide browser window (1200 pixels or more).   Download SED & P(z) plots to view larger versions.
In P(z) plots: Yellow lines mark the cluster redshift z = 0.833,  

Object #18484   x,y = (5587, 5613)   RA, Dec = (01:52:39.168, -13:56:24.00) = (28.16320, -13.94000)   BPZ = 4.385 [3.810--4.543]   type = 10.70 (SB11_A_0_l - SB3_B10)   chisq2 = 0.09   ODDS = 0.86   z_cluster = 0.833