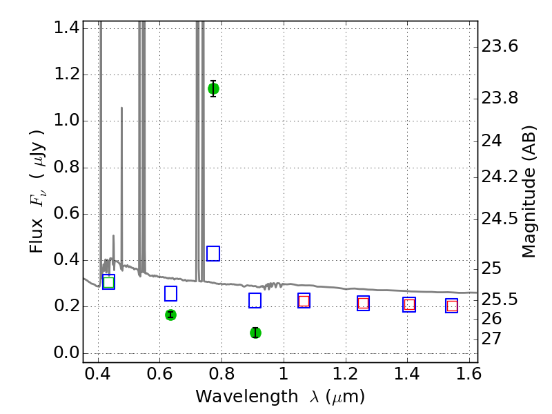
CL0152-13 ACS+IR detection object #17822

Color images and BPZ results
Catalog: 17822.cat
Black segments are analyzed here.   Roll mouse over color images to view segments.
Best viewed in a wide browser window (1200 pixels or more).   Download SED & P(z) plots to view larger versions.
In P(z) plots: Yellow lines mark the cluster redshift z = 0.833,  

Object #17822   x,y = (1330, 5771)   RA, Dec = (01:52:56.712, -13:56:14.64) = (28.23630, -13.93740)   BPZ = 0.100 [0.084--0.115]   type = 11.00 (SB11_A_0_l)   chisq2 = 273.00   ODDS = 1.00   z_cluster = 0.833