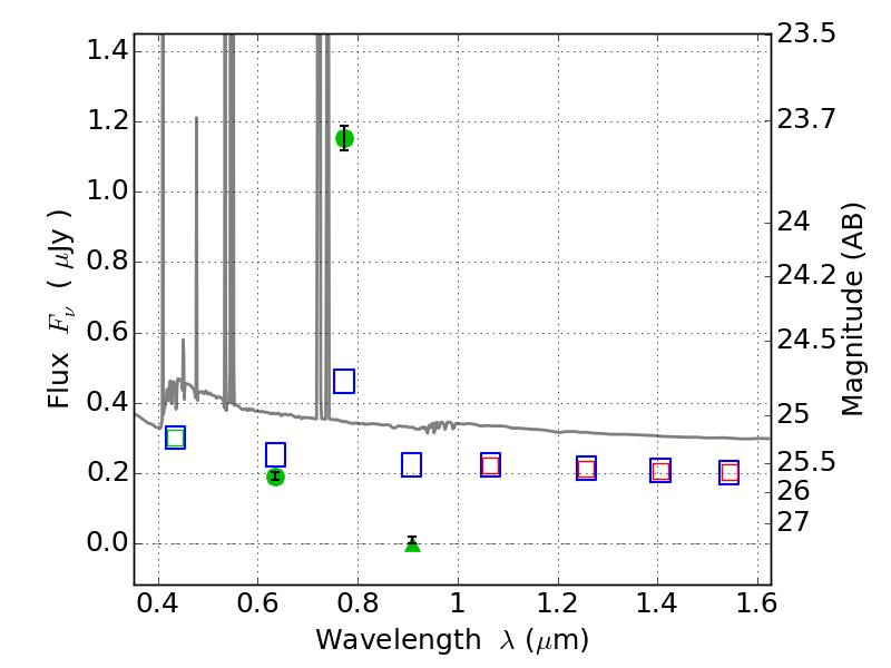
CL0152-13 ACS+IR detection object #1720

Color images and BPZ results
Catalog: 1720.cat
Black segments are analyzed here.   Roll mouse over color images to view segments.
Best viewed in a wide browser window (1200 pixels or more).   Download SED & P(z) plots to view larger versions.
In P(z) plots: Yellow lines mark the cluster redshift z = 0.833,  

Object #1720   x,y = (5816, 1724)   RA, Dec = (01:52:38.208, -14:00:-17.28) = (28.15920, -14.00480)   BPZ = 0.101 [0.085--0.116]   type = 11.00 (SB11_A_0_l)   chisq2 = 264.00   ODDS = 1.00   z_cluster = 0.833