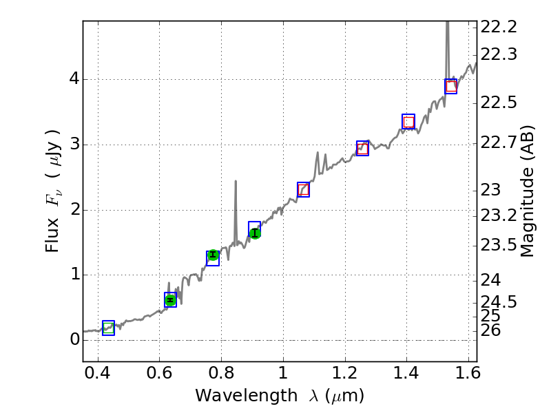
CL0152-13 ACS+IR detection object #16535

Color images and BPZ results
Catalog: 16535.cat
Black segments are analyzed here.   Roll mouse over color images to view segments.
Best viewed in a wide browser window (1200 pixels or more).   Download SED & P(z) plots to view larger versions.
In P(z) plots: Yellow lines mark the cluster redshift z = 0.833,  

Object #16535   x,y = (2187, 5941)   RA, Dec = (01:52:53.184, -13:56:04.20) = (28.22160, -13.93450)   BPZ = 0.688 [0.456--0.900]   type = 6.30 (Sbc_B10 - Scd_B10)   chisq2 = 0.12   ODDS = 0.38   z_cluster = 0.833