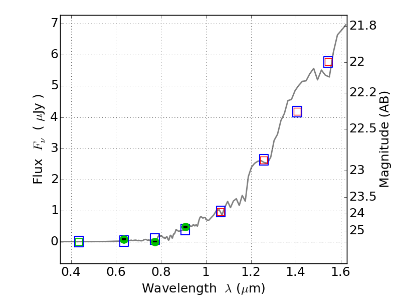
CL0152-13 ACS+IR detection object #16481

Color images and BPZ results
Catalog: 16481.cat
Black segments are analyzed here.   Roll mouse over color images to view segments.
Best viewed in a wide browser window (1200 pixels or more).   Download SED & P(z) plots to view larger versions.
In P(z) plots: Yellow lines mark the cluster redshift z = 0.833,  

Object #16481   x,y = (1696, 6164)   RA, Dec = (01:52:55.200, -13:55:50.88) = (28.23000, -13.93080)   BPZ = 1.976 [1.932--2.020]   type = 1.00 (Ell7_A_0)   chisq2 = 0.11   ODDS = 1.00   z_cluster = 0.833