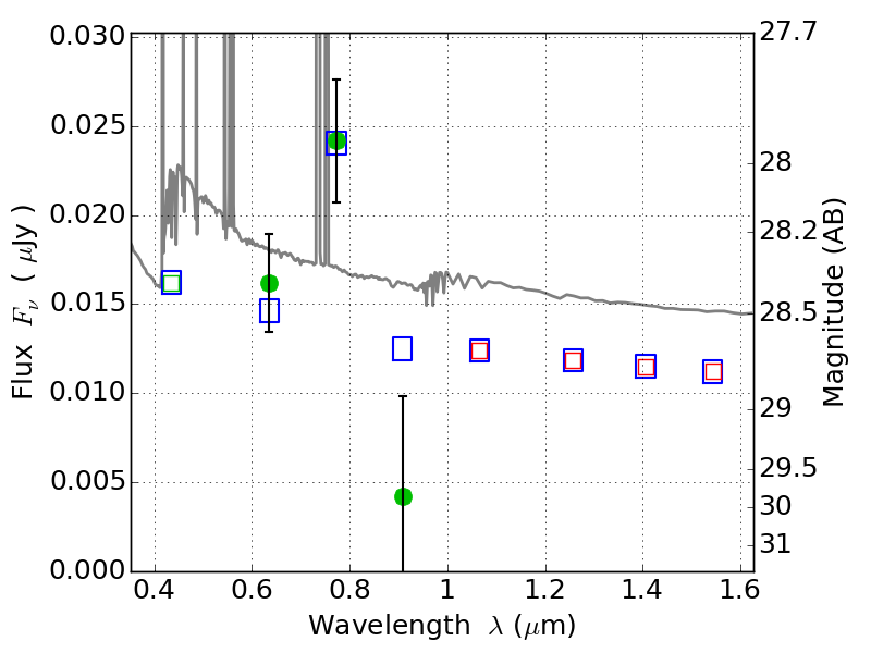
CL0152-13 ACS+IR detection object #16079

Color images and BPZ results
Catalog: 16079.cat
Black segments are analyzed here.   Roll mouse over color images to view segments.
Best viewed in a wide browser window (1200 pixels or more).   Download SED & P(z) plots to view larger versions.
In P(z) plots: Yellow lines mark the cluster redshift z = 0.833,  

Object #16079   x,y = (2727, 6277)   RA, Dec = (01:52:50.952, -13:55:44.04) = (28.21230, -13.92890)   BPZ = 0.117 [0.055--0.267]   type = 11.00 (SB11_A_0_l)   chisq2 = 2.23   ODDS = 0.63   z_cluster = 0.833