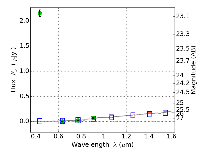
CL0152-13 ACS+IR detection object #14251

Color images and BPZ results
Catalog: 14251.cat
Black segments are analyzed here.   Roll mouse over color images to view segments.
Best viewed in a wide browser window (1200 pixels or more).   Download SED & P(z) plots to view larger versions.
In P(z) plots: Yellow lines mark the cluster redshift z = 0.833,  

Object #14251   x,y = (3027, 5266)   RA, Dec = (01:52:49.704, -13:56:44.88) = (28.20710, -13.94580)   BPZ = 1.087 [0.810--5.305]   type = 5.50 (Sbc_B10 - ES0_B10)   chisq2 = 1063.00   ODDS = 0.41   z_cluster = 0.833