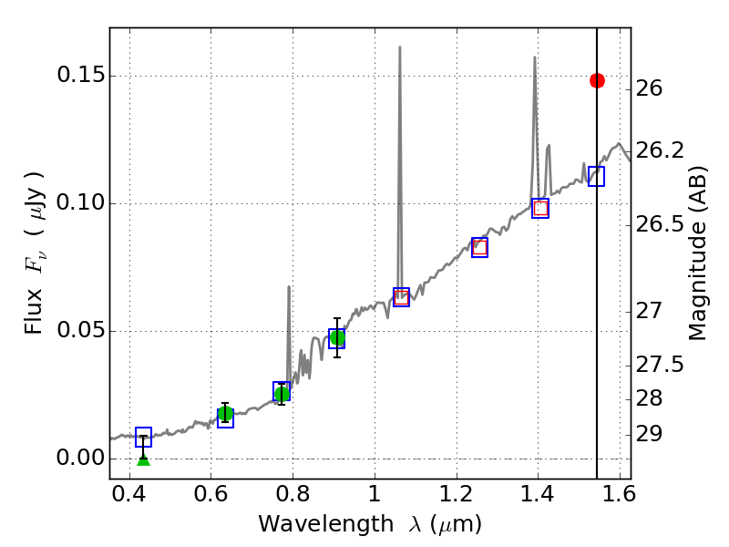
CL0152-13 ACS+IR detection object #13337

Color images and BPZ results
Catalog: 13337.cat
Black segments are analyzed here.   Roll mouse over color images to view segments.
Best viewed in a wide browser window (1200 pixels or more).   Download SED & P(z) plots to view larger versions.
In P(z) plots: Yellow lines mark the cluster redshift z = 0.833,  

Object #13337   x,y = (3673, 5054)   RA, Dec = (01:52:47.040, -13:56:57.48) = (28.19600, -13.94930)   BPZ = 1.121 [0.305--3.697]   type = 6.80 (Scd_B10 - Sbc_B10)   chisq2 = 0.31   ODDS = 0.19   z_cluster = 0.833