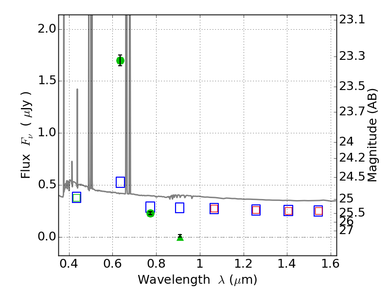
CL0152-13 ACS+IR detection object #1279

Color images and BPZ results
Catalog: 1279.cat
Black segments are analyzed here.   Roll mouse over color images to view segments.
Best viewed in a wide browser window (1200 pixels or more).   Download SED & P(z) plots to view larger versions.
In P(z) plots: Yellow lines mark the cluster redshift z = 0.833,  

Object #1279   x,y = (5554, 1477)   RA, Dec = (01:52:39.312, -14:00:-32.04) = (28.16380, -14.00890)   BPZ = 0.013 [0.010--0.029]   type = 11.00 (SB11_A_0_l)   chisq2 = 416.70   ODDS = 1.00   z_cluster = 0.833