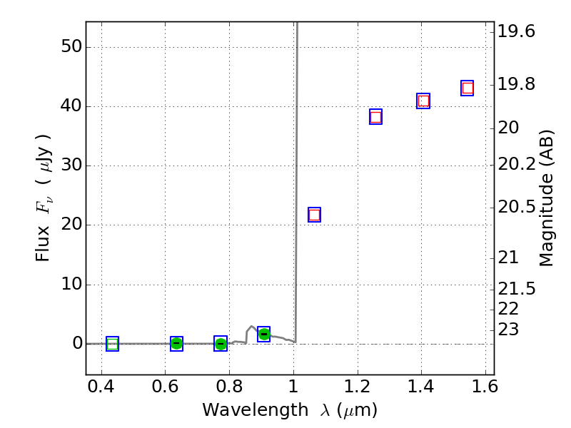
CL0152-13 ACS+IR detection object #11362

Color images and BPZ results
Catalog: 11362.cat
Black segments are analyzed here.   Roll mouse over color images to view segments.
Best viewed in a wide browser window (1200 pixels or more).   Download SED & P(z) plots to view larger versions.
In P(z) plots: Yellow lines mark the cluster redshift z = 0.833,  

Object #11362   x,y = (8456, 4633)   RA, Dec = (01:52:27.336, -13:57:22.68) = (28.11390, -13.95630)   BPZ = 7.320 [7.248--7.708]   type = 9.00 (SB2_B10)   chisq2 = 0.00   ODDS = 0.95   z_cluster = 0.833