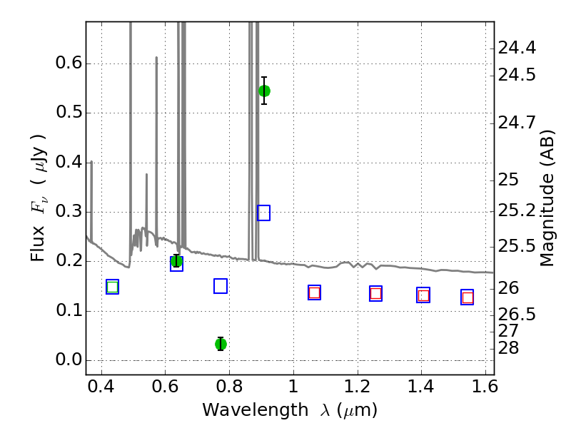
CL0152-13 ACS+IR detection object #11355

Color images and BPZ results
Catalog: 11355.cat
Black segments are analyzed here.   Roll mouse over color images to view segments.
Best viewed in a wide browser window (1200 pixels or more).   Download SED & P(z) plots to view larger versions.
In P(z) plots: Yellow lines mark the cluster redshift z = 0.833,  

Object #11355   x,y = (8438, 4632)   RA, Dec = (01:52:27.408, -13:57:22.68) = (28.11420, -13.95630)   BPZ = 0.320 [0.302--0.346]   type = 11.00 (SB11_A_0_l)   chisq2 = 78.00   ODDS = 1.00   z_cluster = 0.833