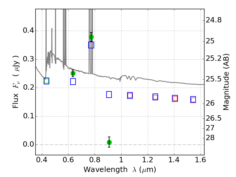
CL0152-13 ACS+IR detection object #10270

Color images and BPZ results
Catalog: 10270.cat
Black segments are analyzed here.   Roll mouse over color images to view segments.
Best viewed in a wide browser window (1200 pixels or more).   Download SED & P(z) plots to view larger versions.
In P(z) plots: Yellow lines mark the cluster redshift z = 0.833,  

Object #10270   x,y = (8237, 4379)   RA, Dec = (01:52:28.248, -13:57:38.16) = (28.11770, -13.96060)   BPZ = 0.161 [0.119--0.192]   type = 11.00 (SB11_A_0_l)   chisq2 = 34.34   ODDS = 0.99   z_cluster = 0.833