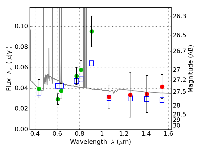
ACT0102-49 ACS+IR detection object #6202

Color images and BPZ results
Catalog: 6202.cat
Black segments are analyzed here.   Roll mouse over color images to view segments.
Best viewed in a wide browser window (1200 pixels or more).   Download SED & P(z) plots to view larger versions.
In P(z) plots: Yellow lines mark the cluster redshift z = 0.870,  

Object #6202   x,y = (4232, 2731)   RA, Dec = (01:02:53.184, -49:16:37.92) = (15.72160, -49.27720)   BPZ = 0.282 [0.224--1.021]   type = 11.00 (SB11_A_0_l)   chisq2 = 1.47   ODDS = 0.15   z_cluster = 0.870